极速下载站 —— 提供优质软件下载服务,感受全新的极速下载体验!

最近更新 | 软件专题 | 软件分类 | 软件排行

您的位置:极速下载站资讯首页软件教程电脑软件教程 → MathType如何输入联立条件

MathType如何输入联立条件

时间:2022-02-20 10:29:33  作者:无名  浏览量:50

对刚刚学习MathType这款软件的伙伴而言,输入联立条件可能还存在点困难,那么话说MathType如何输入联立条件呢?下面就是小编带来的MathType输入联立条件的图文操作内容。
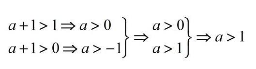
如要输入如图所示的联立条件推导过程:
MathType如何输入联立条件
1.在MathType编辑窗口中,在括号模板中选择右边大括号模板,光标定在虚线框中。
MathType如何输入联立条件
2.在矩阵模板中,选择2行1列模板,叠套在前边的虚线框中变成两行,即可输入公式。
MathType如何输入联立条件
3.将光标放在大括号右边,在箭头模板中选择向右双箭头符号;再次应用前述办法,做出第二个右括弧。
MathType如何输入联立条件
提示:如果公式不是很复杂,第二步使用矩阵模板也可以直接用回车键换行来实现。
上文就讲解了MathType输入联立条件的图文操作过程,希望有需要的朋友都来学习哦。

MathType数学公式编辑器 6.9

MathType数学公式编辑器图片
  • 软件性质:国产软件
  • 授权方式:免费版
  • 软件语言:简体中文
  • 软件大小:10056 KB
  • 下载次数:56 次
  • 更新时间:2021/11/29 1:07:21
  • 运行平台:WinXP,Win7,...
  • 软件描述:MathType(数学公式编辑器)是一个强大的数学公式编辑器,MathType数... [立即下载]

相关资讯

相关软件