极速下载站 —— 提供优质软件下载服务,感受全新的极速下载体验!

最近更新 | 软件专题 | 软件分类 | 软件排行

您的位置:极速下载站资讯首页软件教程电脑软件教程 → 定向井下载

定向井下载

时间:2020-01-20 16:03:08  作者:无名  浏览量:38

定向井设计及计算软件小编亲自鉴定,童叟无欺!本站还有类似软件project 下载、网络图绘制软件、神机妙算软件,欢迎点击下载
定向井下载
定向井下载图一
软件功能
1、定向井设计及计算软件提供更多的计算功能,相关的参数可以自己输入
2、作者也提供一些参考的数据 ,可以打开“怀42-29.wch”设计方案
3、也可以查看“怀40-29.wch”设计方案的数据,参考作者的案例就可以设计井
4、支持水平投影图显示,在软件查看井水平图,查看剖面图
5、支持轨迹图显示,在图像上标注井深
6、支持点测量,可以在软件查看某个点的深度,可以查看井斜度
7、软件的基础数据可以直接查看,在一个列表查看测试的井深度,查看垂直深度
8、方位度也可以在软件显示,也可以增加新的测试点
软件特色
1、定向井设计及计算软件提供的数据很多,支持测深、井斜、方位、垂深查看
2、支持待钻井眼的轨迹预算、方位漂移率(o/100m)、井斜增率(o/100m)
3、可以查看中靶半径:8.11米、靶点有效位移差值:-6.18米
4、也能显示靶点偏移距:-5.25米、靶点纵坐标(x):4056162.97、横坐标(y):36480820.97
5、显示井底纵坐标(X):4056170.09、横坐标(Y):36480818.87
6、可以显示靶心井斜:14.29°、靶心方位:277.59°、井斜范围:3.4≈24.22°
7、可以查看对准靶点增料率:-9.18°/100m,稳方位井斜变化率范围:3.09≈-23.26°/100m
8、支持方位范围:227.51≈327.67°、对准靶点方位漂移率:-3.03°/100m
9、可以显示稳井斜允许方位变化率:23.19≈20.26°/100m
使用方法
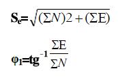
根据规定,测斜数据计算方法为平均角法,平均角法计算简单,并且准确度较高,特别适用于现场。
平均角法计算方法:
式中:αc是1点井斜角与2点井斜角的平均值,称平均井斜角;
φc是1点方位角与2点方位角的平均值,称为平均方位角;
L是1、2点间的段长(斜深);(米) H是1、2点间的垂长(垂深);
(米) S是1、2点间的水平位移 ;
(米) N是S在北轴上的投影;
(米) E是S在东轴上的投影;
(米) 故闭合距Se和闭合方位φe分别为:
定向井下载
定向井下载图二
定向井设计及计算软件
ΔN、ΔE分别为每一小段位移(S)在北轴、东轴上投影的迭加值。 实例:已知井深140米时,井斜0.18˚,方位359,在井深170m,200m,230m和260m时,井斜和方位分别是0.37˚,250˚;0.64˚、230˚;0.43˚;216.98˚;0.28˚,224.26˚; 通过带入以上公式计算,列表如下:
定向井下载
定向井下载图三
定向井设计及计算软件常见问题
定向井是什么?
定向井是钻井专业术语,是指按照事先设计的具有井斜和方位变化的轨道钻进的井。
定向井技术是当今世界石油勘探开发领域最先进的钻井技术之一,它是由特殊井下工具、测量仪器和工艺技术有效控制井眼轨迹,使钻头沿着特定方向钻达地下预定目标的钻井工艺技术。采用定向井技术可以使地面和地下条件受到限制的油气资源得到经济、有效的开发,能够大幅度提高油气产量和降低钻井成本,有利于保护自然环境,具有显著的经济效益和社会效益。定向井就是使井身沿着预先设计的井斜和方位钻达目的层的钻井方法。

12下一页>

定向井 1.0 免费版

定向井图片
  • 软件性质:国产软件
  • 授权方式:免费版
  • 软件语言:简体中文
  • 软件大小:0 KB
  • 下载次数:165 次
  • 更新时间:2020/1/16 12:39:49
  • 运行平台:WinXP,Win7,...
  • 软件描述:定向井是一款简单小巧的计算工具,主要功能是并位、计算方法、剖面设计及计算、打钱、... [立即下载]

相关资讯

相关软件